以“小而美”科學範式提升基礎研究原始創新能力

由 科技導報 發佈於 科技

'26-03-06

原文發表於《科技導報》2026 年第3 期 《以“小而美”科學範式提升基礎研究原始創新能力》

中國科技發展進入關鍵攻堅階段尤其需要加強原始創新。《科技導報》邀請中國工程物理研究院研究生院孫昌璞院士撰寫文章,文章認爲,基礎研究是科技原始創新的源泉,但當下中國基礎研究存在研究團隊過大、研究方向同質化、缺乏核心能力,從而導致原始創新能力不足等問題。在國家層面,這些問題具體表現爲團隊研究不夠精專、研究內容重複度較高、整體形態呈現“逆多樣性”特徵,逐步演化爲“資源驅動型”科研範式,造成科研資源使用低效,導致的科研生態環境不利於原始創新的培育和發展。在基礎研究領域,以科研團隊“小而各彰其美”、科研人員“專而各顯其長”爲特徵的“小而美”基礎研究範式極具科技原始創新價值,能在資源約束下保障國家科研整體的“多樣性”和國家科技鏈安全。以精專探索與原創突破實現基礎研究的核心價值,要求每一個團隊聚焦各自獨特的研究方向長期深耕,其成員以“十年磨一劍”的精神進行專業積澱和問題攻堅。由此形成的科研生態多樣性和高效配置資源,能在國際競爭中保障中國科技發展的韌性。

1 基礎研究需要回歸“小而美”的創新模式

中國科技發展已進入關鍵攻堅期,“十五五”規劃將原始創新與關鍵核心技術攻關置於至關重要的戰略位置。在總體資源有限的約束下,加快培育原始創新能力、提升原始創新水平、增強科技發展應對外部環境變化的韌性,成爲當前科技領域的迫切任務。基礎研究作爲原始創新的核心源泉,其核心特徵在於自由探索。2024年,習近平總書記在全國科技大會、國家科學技術獎勵大會、兩院院士大會上指出,要鼓勵自由探索,築牢科技創新根基和底座。

本文界定的以自由探索爲特徵的基礎研究,是指科學家依據科技發展前沿動態與國家經濟社會發展需求,自主選擇研究方向,開展以原始創新爲目標的科學研究,因此,有別於工程技術領域中面向共性基礎問題開展的基礎性研究,這裏的“自由”,核心在於科學家擁有充分的科研自主權與學術爭論的自由。除需要依託大科學裝置(如粒子對撞機等)開展的部分研究外,多數基礎研究天然具有“小而美”的特質:

“小”體現爲研究團隊規模精簡、研究方向聚焦;“美”的內涵則直指原始創新——以獨特視角探索科學認知邊界、以專精探索實現從0到1的突破,這種“美”既表現爲科研人員研究特色和風格,更落腳於科學發現的原創性。

這種“小而美”的模式,能爲科學研究整體注入多樣性要素,讓不同團隊、不同學者在各自深耕的領域釋放科學原創潛能。

2025年諾貝爾物理學獎表彰了3位科學家在宏觀系統量子隧道效應及能級量子化領域的開創性實驗工作。這一極具特色的原創成果正是由導師與博士後、研究生組成的“小而美”團隊完成的。其中的關鍵理論認知——“宏觀量子”不等於“量子宏觀”,是源於理論物理學家萊蓋特(A. Leggette)的獨立理論創新。此外,諾貝爾獎委員會在提及該成果對超導量子計算的推動作用時,特別肯定了中國學者於揚和遊建強的貢獻——二人並非國內著名大團隊的熱點人物,卻憑藉在實驗與理論領域的深入研究,作出不可或缺的貢獻。

中國物理學家薛其坤(現南方科技大學校長)帶領的研究團隊通過三溫度法,實現了拓撲材料組分與結構原子級精準樣品製備,長出國際最高質量樣品,4年製備1000多個5 nm級薄膜,攻克拓撲、絕緣、磁性共存的諸多材料製備難關,一步一步實現了對拓撲絕緣體的精密調控,在國際上率先實現了量子反常霍爾效應的實驗驗證。這一標誌性的重大科學進展,除了得益於張首晟(斯坦福大學終身教授)、方忠(中國科學院物理研究所研究員、中國科學院院士)和戴希(香港科技大學教授)等的理論工作,以及呂力(中國科學院物理研究所研究員)的精密測量研究,更重要的是薛其坤牽頭的多年合作形成的“小而美”核心攻關團隊(含清華大學教授王亞愚、清華大學教授馬旭村和清華大學教授何珂等少數核心負責人),以博士研究生爲執行主力,人員結構精簡、分工明確、效率極高。目標聚焦、決策鏈短、儀器與人員高度磨合,可快速迭代實驗方案,契合量子材料原子級製備與精密測量的高強度攻關需求。毫無疑問,這一重大的研究成果是中國學術界“小而美”科研範式的生動寫照:研究工作既聚焦於物理學領域的重大問題,又充分發揮“小而美”團隊實驗技術的“高精尖”特色。

梳理2000年以來諾貝爾物理學獎的獲獎情況可見,其中有16年授予實驗方面,7年授予理論方面,另有3年涵蓋實驗與理論領域,但其中沒有科學家因在理論和實驗方面合作並共同發表文章而獲獎。這表明,除依託大科學裝置的研究外,多數諾貝爾獎成果源於“小且專精”的原始創新——團隊規模精簡卻聚焦核心問題,學者深耕一隅卻實現原創突破,這正是“小而美”中“美在原始創新”的核心要義。回顧近代物理學發展歷程,其中極少有重要的科學工作(獲得諾貝爾獎量級的工作)是理論與實驗直接合作完成發表。而目前中國發表在國際著名科技期刊中的研究工作,理論與實驗一起發表的情況較爲常見。部分領域和團隊過分強調理論與實驗“捆綁式”發展,本質上是爲爭奪學術資源而刻意拓展研究範圍,而非出於科學問題本身的內在需求。這就導致原本專注理論的學者“被迫”涉足實驗領域,原本深耕實驗的學者也盲目拓展理論方向,團隊規模隨之膨脹,憑藉龐大體量爭奪資源,使得專注細分領域的小團隊和個人在資源競爭中屢屢受挫,難以持續發展。而原本各具特色的理論組與實驗組,在這種外延式擴展的推動下,學術特色消失殆盡,科學探索的精專性大打折扣,原始創新能力隨之下降。

上述現象在一定程度上折射出中國當前基礎研究呈現“大而平庸”的特徵和“逆多樣性”現象,這與“小而美”的範式背馳。本文所指的“大而平庸”,並非否定科研團隊規模合理擴大的組織性,而是指脫離科學價值導向、以規模換資源的模式。“大”體現爲研究團隊規模“大而散”,研究方向泛化、“趨同而不特”,憑藉“大而全”的架構大量擠佔本可流向更多潛在創新領域的科研資源;“平庸”則表現爲整個科學研究“大而泛”、一個團隊的研究是領域“百科全書”,專精不足、原始創新乏力。

值得注意的是,在當前基礎研究實踐中,一種以規模擴張和資源集中爲特徵的科研運行模式正在逐步顯現,被張宏(中國科學院生物物理研究所研究員、中國科學院院士)等學者概括爲“資源驅動型”科研範式。在這種模式下,科研資源持續向少數體量龐大的團隊和既有優勢方向集中,中小團隊及新興研究方向獲得支持的空間被明顯壓縮,原本應由多元研究主體共同構成的科研生態結構趨於收斂,其危害性將在後文進一步分析。

要特別說明的是,上述關於“小而美”與“大而平庸”的科研範式的討論,必須考慮論題語境的層級性(hierarchy),對不同層級科研團體有相應的適配性選擇。本文強調的是在國家創新體系層面保持“大而全”多樣性和在科研團隊層面保持“小而美”的專與精。在國家創新體系層面保持“大而全”是必要的——通過多領域、多方向的研究佈局,形成覆蓋基礎研究到應用轉化的完整研究網絡,其核心作用在於通過科研領域的全面覆蓋與多樣性佈局,築牢國家科技鏈的安全屏障,支撐保障國家科技主權。要強調的是,這種“大”的多樣性是整個創新體系內以衆科研團隊的“小而各彰其美”爲支撐。具體而言,每個團隊需要聚焦各自細分領域,團隊內部個體在細分方向上極致專精,通過長期積累形成獨特的核心能力,從而實現基礎領域原創性成果的突破。

純基礎研究團隊的“小”容易度量,但是結果是否“美”卻難以事前評估。因此,評價“美”的關鍵在於團隊的研究目標是否“美”,即是否具有特色和原創性。衆多團隊“各彰其美”才能共同構成國家創新體系“大而全”的多樣性。若在科研團隊層面追求“大而全”,則可能陷入研究同質化、資源分散、效率低下的平庸困境,不利於實現國家創新體系的多樣性。這種層級相對性在一些重大的、跨學科協作的研究中尤爲顯著,國家層面需要整合多領域“小而美”團隊形成“大協作網絡”,但各團隊仍需要保持內部專精性。通過“小而美”單元的協同實現“大而全”目標,這正是舉國體制有組織科研必須考量的基本原則。

2 來自進化論的啓發:集體多樣性與個體“小而美”

科學發展與科學研究作爲不斷演化的、有層級的複雜系統,其發展趨勢很難依據“歷史決定論”的觀點(即事先認爲科學是依據某種確定的路徑發展)加以準確預測,而多樣性正是應對科學發展不確定性的最有效手段,這一點可以與達爾文生物進化的思想相類比。達爾文生物進化論核心是“自然選擇”與“適者生存”,其底層邏輯是多樣的、可遺傳的變異,變異的不確定性是應對自然選擇壓力的基礎;羣體的多樣性是物種在多變環境中維繫存續的根本保障:羣體因其衆多個體的獨特性與專精性,面對環境壓力而形成的“高精尖”形態,使其在生存上具有“高適應性”,從而在事前無法精準預判的情況下實現羣體韌性。除變異多樣性外,功能冗餘也是增強體系韌性的關鍵因素。當系統內各功能羣保持較高數量(即功能冗餘),這種多樣性使得系統能獲得更強的韌性、整體功能得到更好的發揮。因此,生物圈必須保持多樣性來獲取生存機會和空間。

在國家創新體系層面上,這一進化論邏輯對理解科研團隊多樣性與“小而美”範式的優勢提供了深刻啓發。國家創新體系功能的充分發揮和體系的良性發展,離不開科技創新體系的多樣性支撐,而這種多樣性在很大程度上得益於“小而美”科學研究的持續發生。基礎研究的原始創新具有“探索性”“不確定性”“突破性”的特徵,不同科研團隊的差異化探索(如研究方向、方法、視角的多樣性)爲科學發展提供了多樣選擇的可能性,極大地拓展了科學前沿的邊界。在看似邊緣方向上的探索可能在未來成爲引領發展的核心動力,某些一度被視爲“小衆”的方法可能打開新的認知大門(例如,人工智能發展經歷過多次低谷期,但始終有人在該領域堅持探索,目前已成爲引領發展的重點領域)。在國家創新體系層面,科研領域的多樣性使體系整體更具韌性,保證了足夠多原始創新“候選方案”能夠進入篩選過程,從而始終確保有一些能真正解決問題、推動認知進步的原始創新得到保留並推廣,避免因單一路徑依賴而陷入停滯。

反觀“大而平庸”模式下,團隊往往追求規模擴張與方向全覆蓋,容易導致研究內容同質化和空泛化。在總體資源有限的約束下,這類團隊壟斷資源使得專注小衆方向的“小而美”團隊難以獲得支持(類似“生存競爭”中強勢羣體抑制弱勢羣體),最終導致科研領域的“多樣性坍縮”。“大而平庸”的模式要保持體系穩定性,就必須追求有利於獲得短期回報的研究方向,傾向於選擇重複驗證比較容易成功的路徑,而非主動承擔探索未知所帶來的風險。然而,正如農場中大規模種植或繁殖的單一動植物品種難以抵禦突發的病蟲害,“大而平庸”模式將在環境劇變中不可避免地失去發展和拓疆開土的能力。資源過度集中導致學科佈局失衡、創新鏈條斷裂,難以快速響應前沿趨勢與國家需求;而多樣性的缺失使得整個科研體系喪失了容錯、試錯的彈性與持續突破的潛力,進而在應對科技突襲、保障國家戰略需求等方面暴露出能力短板。

綜上所述,生物系統中“多樣性是存續與發展的基礎”規律,同樣適用於基礎研究:整體的多樣性(大小並存、方向各異)是原始創新得以發生的“生態前提”,而個體的“小而美”範式是多樣性的重要保障——它以專精聚焦孕育“突破性變異”,以差異化存在豐富“科學研究基因庫”。相比之下,“大而平庸”的同質化擴張與資源壟斷,背離了科學演化規律,最終會削弱原始創新的活力與科學體系的韌性。因此,培育“小而美”的科研生態,保護科研多樣性,是推動基礎研究原始創新的必然選擇。因此,這些各具核心科研能力、特色鮮明的團隊通過協同合作,能夠構築起兼具創新力、多樣性與韌性的科技創新體系,進而高效開展系統研究、攻克具有重大戰略意義的科研任務。要實現這一目標,需從3方面發力:

一是面向國家重大需求和科學前沿,在國家層面構建有組織的科研體系,堅持羣體多樣性與個體小而美原始創新基礎研究範式;

二是充分發揮戰略科學家作爲科技人才鏈關鍵節點的引領作用,構築人才鏈、科技鏈和教育鏈(包括科學家精神培育)一體化推進的三維立體網絡;

三是融合“市場機制”,以整體科技需求爲導向,在總資源約束條件下,“小而美”研究團隊的資源匹配自動優化整體目標,形成具有多樣性特質的“大而全”的攻關隊伍,聚力突破國家科技發展核心難題。

3

支持“小而美”的基礎研究,營造孕育原始創新的科研生態

“小而美”的基礎研究模式並非對舉國體制規模效應的否定,而是強調科研資源配置需要與不同層級的創新目標精準匹配,在國家戰略的宏觀層面與具體科研活動的微觀層面形成協同發力格局的有組織基礎科研格局。由宏觀層面“大而全”和微觀層面“小而美”動態平衡構築的有機整體,是可持續創新生態的核心要義,更是推動中國基礎研究從“跟跑”向“領跑”跨越的關鍵支撐。

中國基礎研究原始創新能力不足的根源在於科研組織模式的結構性錯位。本文作者孫昌璞曾經指出,“‘卡’中國基礎研究原始創新‘脖子’的是中國基礎科學研究的模式”,尤其是在基礎研究中“過分強調團隊的作用,把解決國家現實重大需求的‘集體攻關’模式簡單地移植到基礎理論研究領域”。不同研究模式的適配性差異,可從科學史的相關案例與現實研究實踐中得到充分印證。

在科學史上,集體攻關模式在應用研究與重大工程方面成效顯著,如美國的曼哈頓計劃與中國的“兩彈一星”攻關工程。它們依賴於大規模團隊的協同作戰、資源的集中投放以及明確的目標導向,在基礎原理明確的情況下解決特定的技術性、工程性難題。值得注意的是,參與這些重大集體攻關的科學家們,在完成既定任務後,絕大多數都回歸到了自己原本專注的小衆研究領域,以個人或小團隊的形式繼續開展基礎研究——這一現象恰恰說明,基礎研究與應用研究的核心邏輯存在本質差異,集體攻關模式無法成爲基礎研究的主流範式。

這一規律在基礎研究原始創新成果的產生機制中同樣得到了體現。以諾貝爾獎的獲獎成果爲例,無論是物理學領域量子力學的奠基性突破,還是生物學領域基因編輯技術的探索,創新力量均以小團隊形式存在,凸顯了“小而美”模式的適配性。這背後的核心邏輯在於,基礎研究,尤其是理論性基礎研究,其創新過程具有高度的個體性、探索性與不確定性,需要科研人員擁有充分的自主決策空間與思維自由度,而大團隊的層級化管理、複雜的溝通協調流程,往往會束縛這種創新性思維的迸發。

多數情況下,理論性基礎研究依靠大團隊不僅難以發揮最優效能、產出創新性成果,反而可能在不恰當的評價體系催化下,衍生出結構−資源型科研與“逆多樣性”等阻礙科學事業發展的負面現象。當前,國內不少首席科學家帶領的研究團隊存在“全鏈條覆蓋”的誤區,既兼顧理論研究又涉足實驗探索,導致團隊規模不斷擴大、研究方向趨於同質化——看似“全面發展”,實則造成了大量科研資源的“無效消耗”。同時,同質化的研究方向使得不同團隊在同一領域重複投入,既浪費了稀缺的科研資源,又難以形成差異化的創新突破。

在前述分析基礎上,進一步從科研投入產出邊際效用角度來看,大團隊模式在基礎研究領域中的效率劣勢已被多項實證研究證實。其中,關於英國科研體系的實證研究表明,基礎研究團隊的規模均存在“理想區間”,在這一區間內,團隊的科研產出總量與個體的科研產出效用均能達到最優水平。從研究結果來看,優秀團隊規模均不超過40人,且不同學科之間存在差異——理論研究的團隊最優規模顯著小於實驗團隊。一方面,團隊溝通存在“有效邊界”約束:數量控制在合理範圍內,成員間能夠實現高效的信息共享、思維碰撞與協同配合;一旦團隊規模超過這一“有效邊界”,人與人之間的溝通成本會呈指數級增長,信息傳遞的準確性與效率會大幅下降。此時,若團隊不及時分裂爲多個專注於不同細分方向的子團隊,會造成整體研究效率的下滑,甚至會嚴重破壞學術多樣性——成員之間難以形成差異化的研究視角,創新思維會受到嚴重束縛。

從科研生態構建的宏觀視角進一步分析可以發現,只有基礎研究團隊的規模保持適度,才能在有限的科研資源總量約束下,培育出數量更多、方向更豐富和水平更高的研究團隊,覆蓋更廣泛的科學探索領域,以多樣性應對科學發展的複雜性與不確定性。反之,在資源總量固定時,若基礎研究團隊過大,必然會產生“逆多樣性”效應,使得研究方向向少數領域集中,最終導致資源投入的邊際效用遞減——即科研資源的持續增加無法帶來科研總產出的顯著提升,甚至會出現人均產出急劇下降的局面,嚴重降低整體科研資源的配置效能。大團隊的規模效應,容易形成不利於科學健康發展的“馬太效應”:資源越集中的大團隊,越容易獲得更多的科研項目、經費支持與學術話語權;而專注於小衆領域、缺乏規模優勢的小團隊,則難以在資源競爭中立足,生存與發展空間被不斷擠壓。這種“強者更強、弱者更弱”的局面,會進一步加劇學術生態的失衡。

需要指出的是,上述不考慮資源約束的“資源型科研”,其危害遠超資源配置的低效本身。從學術生態層面來看,它會逐漸侵蝕健康的科研文化,導致科研評價標準異化——部分團隊將資源獲取能力而非研究成果的學術價值、創新價值作爲核心追求,滋生出重數量規模、輕原創質量的不良風氣,這嚴重製約了國家原始創新能力的培育和提升。科研人員的精力過多耗費在資源競爭、團隊管理等非研究環節,小衆的、具有潛在突破價值的研究方向因缺乏資源支持而難以推進。對此,國內學界已有諸多學者發出警示,本文作者孫昌璞曾明確呼籲警惕“沒有資源約束邊界的科學研究”,強調資源配置的合理性與約束性對科研事業健康發展的重要意義;張宏院士近期亦撰文強調,需高度防範此類“資源型科研”對科研文化的負面影響,呼籲構建以創新價值爲核心的科研評價與資源配置體系。

需要說明的是,本文所指的“資源型科研”是指沒有資源約束條件的科學研究,具體表現爲以資金、人力和規模堆砌,卻在科學上沒有展現相應價值的研究。這種“資源型科研”對於“從0到1”的純基礎研究具有巨大的危害。然而,對於“從1到10”的應用基礎研究,這類研究原理和技術路線基本明確、研究目標相對清晰,可以根據研究的重要性適當採取“資源驅動”,一定程度上集中資源推進研究。但“資源驅動”的模式不能前置到“從0到1”的純基礎研究上,並應充分考慮研究需求和資源約束的平衡。因此,在基礎研究管理層面,資助方不宜設立過多體量大的重點、重大項目,而要聚焦於資助額適中、資助面廣的項目(例如面上項目和青年項目),鼓勵各類創新思想的萌發與探索;科研評價方面應注重研究成果的科研質量以價值,而不能以項目數、經費數、文章數作爲指標,特別是要警惕那些文章數量明顯超過正常水平的研究團隊(例如1年發表數百篇文章的團隊和個人),這些研究通常是由資源堆砌而成的,很難有基礎研究的重大創新。

4 科研評價與資助機制對“小而美”基礎研究的影響

維護“小而美”的基礎研究需要合理的科研評價、評估體系支撐,而學術多樣性本質上要求基礎研究的學術評價不能依賴單一或具體指標,否則在指標“指揮棒”的引導下,基礎研究會發生異化,形成以“四唯”爲標誌的制度化“內卷”,進而阻礙其自身發展。

這一異化機制可以藉助經濟學中的“古德哈特定律”得以清晰解釋。查爾斯·古德哈特總結了一個規律,“任何觀察到的統計規律,一旦爲了控制目的而對其施加壓力,就會趨於崩潰”(Any observed statistical regularity will tend to collapse once pressure is placed upon it for control purposes),該規律隨後也得到了數學上的嚴謹證明。在科研評價實踐中,文章數量在統計意義上可以側面反映學術水平,但是一旦被固化爲單一評價指標,那麼必然會有人以各種正當或非正當方式擴大發文量來獲得更好的評價。對個人來說,非正當方式投入產出比可能更高,其結果是文章數量客觀上喪失了其作爲評價指標的意義,因此,依據單一指標的評價會造成“劣幣驅逐良幣”,這就闡釋了中國科技發展在一段時期內面臨“四唯”問題的核心邏輯。

以單一或少數指標爲“指揮棒”會引發其他內卷效應。內卷原本是社會學概念,“指某一文化模式達到最終形態後,既無法實現自我穩定,也難以轉變爲新形態,只能在內部不斷複雜化”。在指標評價體系精準驅動下,科技界內卷主要表現爲:基礎研究被異化爲複雜的發文競爭、影響因子提升競爭,進而衍生出諸多精細化操作,如刻意創造新名詞、刻意增加發文數量、增加無意義引文、抱團互引等,甚至誘發違背學術道德,如選擇性使用實驗數據、編造論文等行爲。可以說,這樣的評價體系不僅無法體現科學研究原本應有的價值,甚至摧毀了孕育原始創新的學術文化土壤。

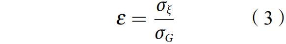
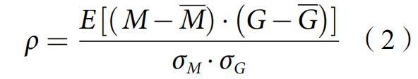
在科研資助評審環節,亦可能發生科研評價的價值導向偏移。評價指標的有效性高度依賴代理指標與科研人員真實學術水平的相關性,但這一要求在實際操作中往往難以精準實現。以科研基金資助評審爲例,其核心本質是通過同行評價(通常以項目打分等代理指標形式呈現)以儘可能反映被評人的真實科研能力,這就要求同行評價所採用的代理指標與被評人真實水平的相關係數ρ儘可能趨近於1。El−Mhamdi等的研究揭示了ρ和噪信比ε的量化關係

具體如下,若以代理指標M(如論文數量、影響因子等)來替代人才或團隊真實科研水平與能力G,在合理假設G與M存在M = G+ξ的條件下(ξ表示真實水平G與代理指標M之間的誤差)。可以推導出G與M的相關係數

式中,

分別表示M和G的期望,σM和σG分別表示M和G的標準差。定義ξ與G的噪信比ε爲

上述2個公式化簡可得

顯然,噪信比越低,代理指標與真實水平的相關係數越高,評審結果的精準度隨之提升。從理想狀態來看,噪信比應低於基金資助率,否則評審過程極易篩選出“高噪聲、低信號”(即真實學術水平不足)的項目。根據El−Mhamdi等的研究結論,過度追求代理指標,會使代理指標和真實水平之間的誤差較大(表現爲長尾分佈),此時古德哈特定律生效。這種情況下遴選比例(資助率)和噪信比的關係影響遴選效果,如果資助率低於噪信比,此時噪聲起主導作用,評審不能很好發揮作用,因此,爲了降低誤差噪聲的影響,噪信比應小於資助率。假設某類項目的資助率爲10%,此時要求噪信比ε≤10%,根據上述公式可推得相關係數ρ≥99.5%。但在實際評審中,受評價主體主觀差異、信息不對稱等多重因素影響,這一超高相關係數根本無法實現。

從國際經驗看,爲克服評估高相關度難以實現的困境,多數科研資助體系選擇維持相對較高的資助率(普遍超過20%,見表1)。即便如此,仍有學者指出,20%的資助率對於青年學者的職業成長而言並不健康。值得關注的是,近年來中國科學基金資助率持續下降,2024年面上項目平均資助率已降至11.7%。據此反推,對應的相關係數需達到ρ≥99.3%,這一標準在實際操作中同樣難以企及。因此,過低的資助率會導致基金資助評審極易被評價“噪聲”所幹擾:

一方面,代理指標與真實水平的相關性評估難以滿足高資助精度的要求;

另一方面,嚴苛的資助比例會放大評審誤差的影響,最終導致大量蘊含原始創新潛力的學術思想難以獲得支持,進而制約基礎研究的創新活力。

表1 世界主要國家科研項目資助率概覽

除評價指標和資助率問題外,當前科研資助體系中的部分運作邏輯加劇了上述不利影響。比起具有原始創新思想但尚未取得明顯成果的青年科學家,當前中國部分社會或官方資助機構往往更傾向於資助已有研究成績、基本不缺乏研究經費的團隊。其中,滾動資助機制的運行方式尤爲典型。

滾動資助本應是助力科研項目持續推進、培育創新成果的重要支撐,但其“錦上添花”的運作邏輯,卻使其逐漸偏離資助初衷,異化爲對已有成就科學家的歷史性“獎勵”。這種資助模式不僅與國家堅決反對的“四唯”(唯論文、唯職稱、唯學歷、唯獎項)導向相背離,更在資源分配的傾斜中忽視了未來創新的培育,成爲制約原始創新活力的隱形壁壘。

在“錦上添花”的邏輯下,滾動資助的核心特徵是將過往科研成就作爲核心評價指標,形成“已有成果—獲得資助—再出成果—持續資助”的循環。對於已積累豐碩成就的科學家而言,滾動資助如同“錦上添花”,使其科研資源更趨富集;而對於初出茅廬、缺乏歷史成果但具備創新潛力的青年科研人員,或是深耕小衆探索性領域、尚未產出顯性成果的團隊,則難以獲得資助青睞,陷入“巧婦難爲無米之炊”的困境。

從評價邏輯上來看,“四唯”的本質是將科研人員的價值簡單綁定於顯性、量化的歷史成果,而“錦上添花”型滾動資助正是以這些“四唯”指標作爲資助評審的核心依據。這就形成了“越符合‘四唯’標準,越易獲得滾動資助;越獲得滾動資助,越易產出‘四唯’指標成果”的循環。這樣的做法不僅未能破除“四唯”桎梏,反而進一步固化了以歷史成果爲核心的評價體系,讓科研人員陷入“爲維持資助而追逐短期顯性成果”的功利性導向。這種對歷史成就的過度“獎勵”,通常會忽視對未來創新的培育規律。原始創新往往誕生於小衆探索、跨界融合或需要長期積累的“無人區”,其初期階段往往缺乏顯性成果支撐,難以滿足資助的“歷史成就”評估門檻。而“錦上添花”型滾動資助將大量資源集中於已有成就的科學家,形成資源壟斷的“馬太效應”,偏離“小而美”的基礎研究範式,在成熟領域作不必要的復耕。

在中國基礎科學發展歷史進程中,國家自然科學基金(如之前的青年科學基金)曾經起到過非常好的“雪中送炭”作用,幫助很多青年科學家在職業生涯早期得到必要的資助,並堅定地走上科研的道路,科學基金的早期資助培育了一批優秀科學家。諸多專家建議,科學基金應繼續發揮“雪中送炭”的功能,培育更多具有創新思想的科學家。在國際範圍,平衡優化資源分配,資助青年和優秀學者,是科研資助機構的基本共識。美國國家衛生研究院(National Institutes of Health,NIH)基於實證研究結果採取了一系列措施,優化資源分配、發揮科研資助效能,把經費用於職業生涯初期的學者和高產出學者,而不是給已有充足資金的學者更大的增量支持。

爲破解上述結構性困局,要敢於擺脫“路徑依賴”評估方法,迴歸科學本質。從培育科研生態多樣性的角度出發,對基礎研究人才的選拔與支持應摒棄以簡單指標來評價的模式,迴歸科學價值導向。一方面,要優化科研資源配置結構,減少過度集中的大項目投入,提高“面上”科學基金的資助率,尤其是要加大對青年學者的資助率,大力培育青年學者的原始創新思想,發揮科研經費“雪中送炭”的功能。

另一方面,唯有打破“錦上添花”的滾動慣性,建立以創新能力提升爲核心的資助導向,才能真正破除“四唯”影響,爲中國科技未來創新培育肥沃土壤。在具體操作上,科研資助流程可以探索符合統計規律的粗粒化的評估管理方式,比較廣泛地資助具有發展潛力的研究方向,而不是建制化隱形鼓勵“內卷”。

  • 一是可以試點低管理成本的評審制度,例如,相關科技管理部門可探討其他國家爲應對過度競爭而試行的“部分隨機抽籤制度”在中國的可行性;

  • 二是可在保持合理資助額度的前提下提高資助率,讓更多的創新思想不被過分量化的評價所扼殺。

新西蘭、瑞士等國家已經在項目資助評審過程中採取了部分隨機抽籤的制度。通常的做法是首先開展同行評議,對沒有取得一致意見的項目(即所謂的非共識項目),採取不同形式的隨機抽籤模式。例如,新西蘭健康研究理事會(Health Research Council of New Zealand,HRC)對非共識項目全體採取隨機抽籤方式決定是否資助;而瑞士國家科學基金則對非共識項目採取貝葉斯分層模型進行排名,在對在資助線以上的項目予以資助。同時,對於排名誤差範圍內的項目予以隨機抽籤決定是否資助。這種模式既降低了項目評審的管理成本,又使非共識的創新思想保留了制度空間。

5 以項目負責人制實現科技創新的“小而美”範式

項目負責人(principle investigator,PI)製作爲國際主流的基礎研究組織模式,已成爲國際上支撐基礎研究高質量發展的核心制度架構。在長期的科研實踐中,這種模式充分驗證了其適配基礎研究探索性、自主性本質的特性,有效規避了大團隊模式的協同低效、方向同質等弊端,生動詮釋了“小而美”基礎研究的獨特科學價值。

PI制的“小”,核心體現爲研究團隊的精幹化,這種小規模特徵並非刻意限制,而是精準匹配基礎研究需求,尤其是理論性研究的創新規律。與應用研究或工程攻關所需的大規模協同不同,基礎研究的核心創新往往依賴於研究者之間高效的思維碰撞、靈活的決策響應,而過大的團隊規模會不可避免地增加溝通成本、降低決策效率。以英國生命科學研究領域爲例,其PI團隊規模平均僅爲7.3人,這種精簡的團隊結構確保了成員之間信息傳遞的精準性與及時性,使研究方向能夠根據科學前沿動態快速調整,避免了大團隊常見的路徑依賴與資源內耗。這種小規模特徵具有普遍性,歐美頂尖高校的物理、化學等理論性較強的學科中,PI團隊規模多集中在5~10人,這種“小”不僅未削弱研究實力,反而促使團隊聚焦單一研究方向,形成“專而精”的探索優勢。

PI制的“美”,則體現在其通過科學的制度設計優化資源配置、平衡國家層面的多元化需求,最終實現學術自主、聲譽追求與前沿探索的有機統一,成爲維繫基礎研究多樣性、推動科學進步的關鍵支撐。

  • 一方面,從國家層面看,PI制下的資源配置更具精準性。由PI統籌調配,根據實際需求動態調整,避免了層級化管理中的資源閒置與錯配;

  • 另一方面,這種模式有效平衡了個體學術追求與國家需求,既賦予研究者探索未知的自由,又通過項目導向保障了基礎研究與國家長遠發展需求的銜接,實現了學術價值與社會價值的協同統一。

PI制的核心價值,還在於提供了不受單一目標束縛的學術自由,爲基礎研究的多樣性發展提供了土壤:不同PI根據自身優勢聚焦不同細分領域,形成覆蓋廣泛、差異化明顯的研究格局,既避免了研究方向的同質化內卷,又能讓科學探索觸及更多“無人區”,爲應對複雜的科學問題和國家需求提供多元支撐。歷史上諸多重大原始創新成果,如基因編輯技術的初期探索、量子糾纏理論的突破等,均源於PI帶領小團隊開展的自主探索,充分印證了學術自主權對原始創新的催生作用。

更爲重要的是,PI制通過構建以學術聲譽個人負責製爲核心的內生約束機制,在維護學術多樣性的同時保障了研究質量(原始創新程度)。在PI制下,項目責任與學術聲譽深度綁定,這種內生約束形成了替代“唯論文、唯影響因子”等單一指標評價的長效機制。受聲譽約束,PI會主動規避短期化、表面化的功利性研究行爲,轉而聚焦具有長遠學術價值和潛在應用前景的研究方向,願意投入時間和精力開展長期積累性探索。這種以學術價值爲核心的評價邏輯,不僅有效破解了量化指標導向引發的研究異化問題,更通過研究者維護自身聲譽的自發訴求,保障了研究的嚴謹性與原創性,使基礎研究在“百花齊放”的多樣性發展中始終堅守學術本質。

6 用科學家精神加持“小而美”的原始創新

維護“小而美”範式的基礎研究,除了在制度層面需要獲得必要保障,還需要科學家精神的加持。“小而美”的基礎研究常面臨驗證週期漫長的困境,這主要源於基礎理論成果常常會超越當下實驗技術和思想方法的邊界。例如,楊−米爾斯規範理論從提出到粒子物理標準模型的建立,歷經近60年。科學理論的價值確認,既依賴科學共同體持續的理論探索與實驗檢驗,更離不開科學家羣體對學術本質的深刻理解以及對科學精神的堅守。對這類研究的價值判斷,應從邏輯自洽性、解釋力拓展、方法論創新和潛在應用價值等多維度綜合考量。就像楊−米爾斯理論的規範對稱性框架,儘管提出時缺少實驗支撐,但其具備的數學美感以及對稱性決定相互作用的核心價值,使其成爲基本相互作用統一理論的第一個“聖盃”。

在創新成果的價值判斷中,“小而美”所蘊含的科學品味發揮着關鍵作用。它體現爲研究者在科學價值上對“真問題”的敏銳洞察和在科學品味上對“好理論”的審美追求。例如,在物理學發展史上,物理學家對數學之美(如麥克斯韋方程組的對稱性)的感悟,以及對物理直覺(如愛因斯坦對光速不變性的堅持)的把握。有了科學精神加持的科學審美,即便面對漫長的驗證週期,科學家依然執着地追尋真理、不斷地推動理論完善,這種獨立性、批判性和堅韌性,共同構成了科學家精神的生動寫照。

中國基礎研究發展到當前階段,理應全面支撐國家創新體系的發展,這要求基礎研究應該“大而全”多元化地發展,即各領域多學科全覆蓋、共發展,形成緊密的創新研究網絡。而國家基礎研究“大而全”的根基是各領域多學科“小而美”的研究團隊,這類團隊在細分方向上深入研究,形成研究的多樣性和專精能力。本文闡述的“小而美”範式聚焦於具有原創性突破的科學探索,其核心價值在於創造前所未有的知識體系與方法,然而多數研究成果難以在短時間內被準確預測。這一特性決定了基礎研究應倡導自由探索,以科學研究的多樣性形成學科、領域全覆蓋,通過精簡的小團隊專注細分領域構建專而精的研究基礎。在資源約束的條件下,唯有此種“大小兼修”“廣專並舉”,中國基礎研究才能更好地支撐國家發展事業。

爲持續推進“小而美”基礎研究的範式,需要從國家、團隊和個體3個層面構建其立體的維護體系,它既需要合理的科研資源的養分支持,更需要融合科學價值與愛國精神、科學家精神的內在引領。

  • 在宏觀層面,應通過完善和革新評價激勵制度,使其更好適應長期主義的科學研究規律,建設規模合理學術團隊以促進思想交流碰撞,營造“無功利性”的科研文化氛圍。與此同時,國家層面的基礎研究佈局需要在保持“大而全”多元化的前提下,合理配置科研資源,有效地培育、激發各類創新思想。

  • 在具體操作層面,要擴大基礎研究的資助率,鼓勵創新探索,而非歷史功勞簿上“滾動”,以破除“資源型科研”桎梏、更好地發揮科學資助“雪中送炭”的功能;扶持好“坐冷板凳、十年磨一劍”、堅持原創性艱難探索的青年科學家,培育基礎研究的多樣性,在更廣的範圍內、讓更多的研究領域可以鑽深、扎牢。

  • 在科研導向上,還需確保正確的科學價值引領,引導科研人員自覺踐行科學家精神、抵禦功利價值的影響,迴歸科學探索的本質,使個人科研追求真正融入國家發展之中。

致謝:北京理工大學教授、中國科學院院士胡海巖,南方科技大學教授、中國科學院院士薛其坤,清華大學教授王亞愚,中國工程物理研究院研究生院研究員傅立斌對本文提出非常有價值的學術意見。

本文作者:王鑫,王川西,孫昌璞*作者簡介:王鑫,中國工程物理研究院研究生院,副研究員,研究方向爲科技政策與科技管理;孫昌璞(通信作者),中國工程物理研究院研究生院,教授,中國科學院院士,研究方向爲量子物理、數學物理和量子信息理論以及面向國家需求的基礎研究。

文章來 源 : 王鑫, 王川西, 孫昌璞. 以“小而美”科學範式提升基礎研究原始創新能力[J]. 科技導報, 2026, 44(3): 17−27 .

內容爲【科技導報】公衆號原創,歡迎轉載白名單回覆後臺「轉載」

《科技導報》創刊於1980年,中國科協學術會刊,主要刊登科學前沿和技術熱點領域突破性的研究成果、權威性的科學評論、引領性的高端綜述,發表促進經濟社會發展、完善科技管理、優化科研環境、培育科學文化、促進科技創新和科技成果轉化的決策諮詢建議。常設欄目有院士卷首語、科技新聞、科技評論、本刊專稿、特色專題、研究論文、政策建議、科技人文等。

Scroll to Top