我們每天從下水道沖走的尿液,其實是個寶貝。近日,加拿大麥吉爾大學的研究人員使用一種名爲微生物燃料電池的裝置,把尿液變成了電能,並且發現尿越濃,發的電越多。
它的原理是這樣的:在這套裝置裏有一羣喫有機物的細菌,當把尿液倒進去,細菌就開始“狂炫”。它們在分解尿液裏的有機物的時候,會把電子釋放出來。這些電子沿着導線跑到另一個區間,就會和空氣中的氧氣結合,從而形成電流。整個過程既處理了污水,又發了電。
研究人員造了四個雙室微生物燃料電池,每個有500毫升的容量。他們往裏面加了不同濃度的尿液,有的只佔20%,有的佔50%,有的高達75%。然後,他們連續監測了14天,看看哪個濃度的發電效果最好。
結果很明顯:尿液濃度越高,發電量越大。75%濃度的那組,電壓最高衝到了432.9毫伏,遠遠超過20%濃度的73.2毫伏。
爲什麼會這樣?研究人員使用了幾種電化學方法來尋找原因。
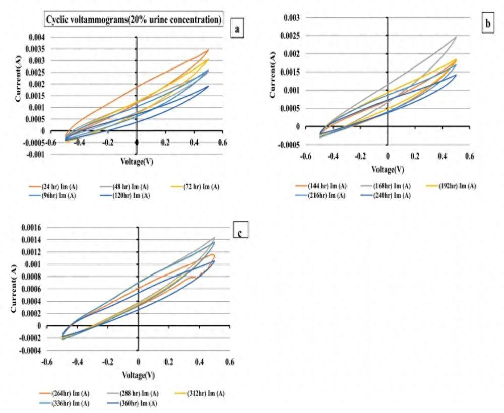
一種叫做循環伏安法,能夠觀察細菌在電極上的生長過程。他們發現隨着時間推移,曲線下的面積越來越大,這說明細菌在電極表面形成了一層生物膜。這層膜就像一層導電的塗層,讓電子更容易從細菌傳導到電極上。
另一種方法叫做電化學阻抗譜,用來測量電池內部的阻力。結果顯示,細菌在電極上安家之後,電阻大幅下降。50%濃度的那組,電阻從367.4歐姆降到了181.7歐姆。電阻小了,電子跑得更順暢,電流自然就大了。

(來源:https://www.sciencedirect.com/science/article/pii/S2211715625008719?via%3Dihub)
那麼,尿液裏到底有什麼好東西?研究人員分析了一下成分。尿液裏95%是水,剩下的5%其實是各種寶貝。尿液裏的有機物包含尿素、尿酸、肌酐,尿液裏的無機鹽包含鈉、鉀、鎂、氯、鈣。這些東西對於細菌來說,就是一頓大餐。尿素分解產生的氨還能調節pH值,給細菌創造更好的生活環境。
研究人員還使用基因測序技術,看了看電池裏到底住了哪些細菌。結果發現,有這樣兩個細菌家族是主角。一個叫Sediminibacterium,在50%濃度的時候最活躍。另一個叫Comamonas,到了75%濃度就會變成電池裏的最強細菌。這兩種細菌都能夠分解污染物和傳遞電子。其中,Comamonas不僅能夠處理高濃度的氨氮,還能降解一些難搞的污染物。

(來源:https://www.sciencedirect.com/science/article/pii/S2211715625008719?via%3Dihub)
整套實驗下來,研究人員發現了這樣一個完整的流程:尿液倒進去,細菌開始喫大餐,一邊喫一邊繁殖,從而在電極表面鋪成生物膜。這層膜讓電子傳輸更順暢,電阻下降、電壓上升。同時,尿液裏的有機污染物被分解乾淨,化學需氧量去除率最高能達到50%。
這套技術能用在哪裏?論文提到了幾個場景。
偏遠農村沒有污水處理廠,那麼就可以用它就地處理廁所廢水,順便發點電給手機充電。
在災害救援的臨時營地,可以靠它解決基本用電需求。
還有一個更有意思的用法,就是把這種電池做成生物傳感器,因爲它的電信號會隨着污水濃度變化,只要測一下電壓,就能知道水髒不髒,不需要複雜的檢測設備。而研究人員所使用的循環伏安法測出的曲線,則是這種傳感功能的基礎。
其實這套思路並不新鮮,微生物燃料電池的概念已經存在幾十年了。但是,這次研究找到了最優的尿液濃度配比,還弄清楚了裏面微生物是怎麼工作的。

圖 | 相關論文(來源:Results in Chemistry)
而且,他們把重點放在50%到70%這個濃度區間,正好是實際場景裏最容易實現的濃度。要知道,純尿液收集起來成本太高,太稀了效果太差,目前這個區間剛剛好。當然,它發的電還不算多,最多也就幾百毫伏,距離電量一個燈泡還有一定距離。但是,考慮到它的投入成本幾乎爲零,那麼廢物利用本身就是賺的。
參考資料:
相關論文
https://www.sciencedirect.com/science/article/pii/S2211715625008719?via%3Dihub




